Magna Concursos
3924594 Ano: 2025
Disciplina: Matemática
Banca: EDUCA
Orgão: Pref. Brejo Cruz-PB
Provas:

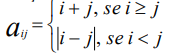
Uma matriz A de ordem 3 tem a seguinte regra de formação:

Enunciado 4878242-1

O determinante de A é:

 

Provas

Questão presente nas seguintes provas

Professor B - Matemática

50 Questões