Magna Concursos
479113 Ano: 2013
Disciplina: Engenharia Civil
Banca: FCC
Orgão: TRT-18
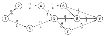
Considere o planejamento de uma obra civil por meio do cronograma PERT/CPM, representado na figura a seguir.
Enunciado 479113-1
No cronograma, as letras representam as atividades, cuja duração em dias, está indicada abaixo. O tempo previsto, em dias, pelo caminho crítico dessa rede é
Questão Anulada

Provas

Questão presente nas seguintes provas

Analista Judiciário - Engenharia Civil

60 Questões