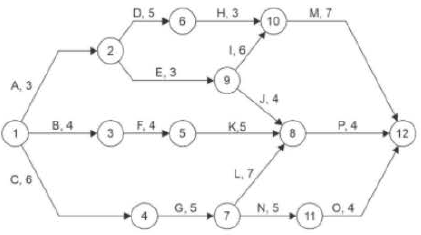
O planejamento da construção de uma edificação comercial seguiu a rede PERT-CPM a seguir, em que as atividades estão representadas por letras, seguidas de suas durações em semanas.

Da análise dessa rede PERT -CPM concluí-se que o tempo para execução dessa obra é