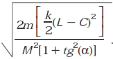
Um corpo de massa !$ m !$ desliza sem atrito sobre a superfície plana ( e inclinada de um ângulo !$ \alpha !$ em relação à horizontal) de um bloco de massa !$ M !$ sob a ação da mola, mostrada na figura. Esta mola, de constante elástica !$ k !$ e comprimento natural !$ C !$, tem suas extremidades respectivamente fixadas ao corpo de massa !$ m !$ e ao bloco. Por sua vez, o bloco pode deslizar sem atrito sobre a superfície plana e horizontal em que se apóia. O corpo é puxado até uma posição em que a mola seja distendida elasticamente a um comprimento !$ L \,(L > C) !$, tal que, ao ser liberado, o corpo passa pela posição em que a força elástica é nula. Nessa posição o módulo da velocidade do bloco é
