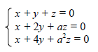
Seja a∈R. Sabe-se que o sistema de equações lineares abaixo

possui uma única solução. Pode-se afirmar que:
Provas
Questão presente nas seguintes provas
Seja a∈R. Sabe-se que o sistema de equações lineares abaixo

possui uma única solução. Pode-se afirmar que: