
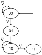
O diagrama de estados acima pode ser implementado com dois flip-flops D.
Adotando-se QBQA como a designação do estado, onde QB e QA são as saídas dos flip-flops, conclui-se que as entradas DB e DA são, respectivamente,

O diagrama de estados acima pode ser implementado com dois flip-flops D.
Adotando-se QBQA como a designação do estado, onde QB e QA são as saídas dos flip-flops, conclui-se que as entradas DB e DA são, respectivamente,