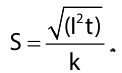
A seção mínima dos condutores não deve ser inferior ao valor determinado pela expressão:

Analise as afirmativas abaixo em relação ao exposto.
1. A variável “I” representa a corrente média em condições normais de operação.
2. O coeficiente k é maior para isolação do tipo PVC em relação à isolação do tipo EPR.
3. O coeficiente k é maior para fios de cobre do que de alumínio.
4. A expressão é aplicável apenas para tempos de seccionamento que não excedam cinco segundos.
Assinale a alternativa que indica todas as afirmativas corretas.