Magna Concursos
1622809 Ano: 2004
Disciplina: Matemática
Banca: UPENET/IAUPE
Orgão: PM-PE
Provas:

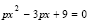
A equação do 2º grau enunciado 1622809-1 terá duas raízes iguais, se

 

Provas

Questão presente nas seguintes provas

Soldado

50 Questões