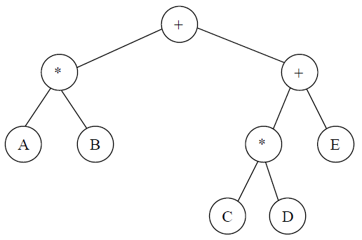
Observe o diagrama de uma árvore binária de uma expressão matemática:

Identifique a alternativa que apresenta o percurso da estrutura de dados:
Observe o diagrama de uma árvore binária de uma expressão matemática:

Identifique a alternativa que apresenta o percurso da estrutura de dados: