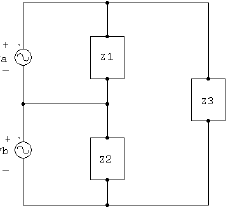
No circuito abaixo, as fontes de tensão fasoriais Va e Vb apresentam módulo igual a 250 V (eficaz) e ângulo igual a zero grau. O dipolo Z1 possui fator de potência atrasado, desenvolvendo potência ativa de 1,2 kW e potência reativa de 240 VAr. O dipolo Z2 apresenta fator de potência FP = 0,96 adiantado e desenvolve potência aparente de 1 kVA. O dipolo Z3 é formado pela associação em paralelo de um resistor com resistência de 6,25 !$ \Omega !$ e um indutor com reatância de 25 !$ \Omega !$. Pode-se afirmar que o módulo das potências média e reativa das fontes Va e Vb valem, respectivamente:

Provas
Questão presente nas seguintes provas