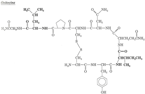
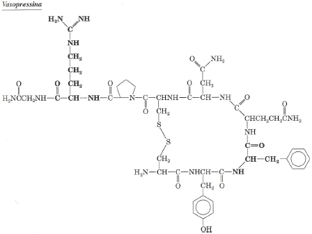
A oxitocina e vasopressina possuem estruturas notavelmente semelhantes, apesar da semelhança da cadeia de aminoácidos, estas duas substâncias possuem efeitos fisiológicos muito diferentes. A oxitocina ocorre apenas nas fêmeas das espécies animais e estimula a contração do útero durante o parto. A vasopressina ocorre em machos e fêmeas e causa a contração dos vasos sanguíneos periféricos e o aumento da pressão sanguínea. As estruturas da oxitocina e vasopressina podem ser observadas abaixo.


Pode-se concluir que a oxitocina e vasopressina são:
Provas
Questão presente nas seguintes provas
Professor PEBTT - Química Orgânica e Ambiental
40 Questões