Magna Concursos
343409 Ano: 2019
Disciplina: Economia
Banca: UDESC
Orgão: IMA-SC
Provas:

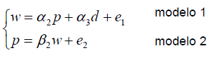
Considere por simplificação que o sistema de equações simultâneas, a seguir, é adequado para representar, sinteticamente, a espiral de preços e salários de uma economia:

enunciado 343409-1

onde w =variação no salário e p=variação no preço são variáveis endógenas; d=taxa de desemprego é variável exógena; e1 e e2 são erros aleatórios com média zero, variância constante, não autocorrelacionados e Cov(e1 , e2)=0.

Mantendo as demais hipóteses do Modelo Clássico de Regressão linear, considerando apenas as comparações entre os estimadores de Mínimos Quadrados Ordinários (MQO), Mínimos Quadrados Indiretos (MQI), Variáveis Instrumentais (VI) e Mínimos Quadrados em 2 Estágios (MQ2E), analise as proposições e assinale (V) para verdadeira e (F) para falsa.

( ) O estimador de MQO produzirá coeficientes viesados, inconsistentes e ineficientes de enunciado 343409-2do modelo 2.

( ) Quando p e d forem independentes entre sí, o estimador de MQO produzirá um estimador eficiente do parâmetro enunciado 343409-3do modelo 1.

( ) O parâmetro enunciado 343409-4 do modelo 2 poderá ser estimado de maneira consistente apenas por MQ2E já que a equação do modelo 2 é sobre-identificada.

( ) Para o modelo 2, os estimadores de MQI, VI e MQ2E produzirão os mesmos resultados para o parâmetro enunciado 343409-5 quando usamos a variável d como instrumento para w.

( ) A equação do modelo 1 tem as condições necessárias e suficientes para ser exatamente identificada.

Assinale a alternativa correta, de cima para baixo.

 

Provas

Questão presente nas seguintes provas