Magna Concursos
804295 Ano: 2015
Disciplina: Engenharia Eletrônica
Banca: IF-SUL
Orgão: IF-SUL
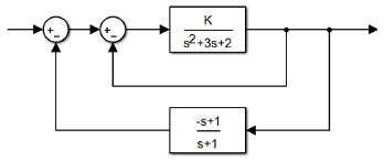
Considere o sistema realimentado abaixo:
Enunciado 804295-1
Para que valores de K o sistema é estável?
 

Provas

Questão presente nas seguintes provas