Magna Concursos
1547559 Ano: 2005
Disciplina: Matemática
Banca: FJPF
Orgão: PM-RO
Provas:

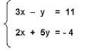
Considere o sistema abaixo

enunciado 1547559-1

O valor de x + y é igual a:

 

Provas

Questão presente nas seguintes provas

Policial Militar - Soldado

60 Questões