
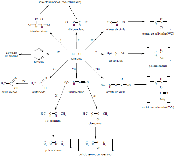
Um dos derivados de petróleo de grande importância industrial é o acetileno. A figura acima mostra alguns produtos de interesse industrial que podem ser obtidos a partir do acetileno. Tendo essa figura como referência, julgue o item subseqüente.
A adição de HCR ao cloreto de vinila produz principalmente 1,2-dicloroetano.