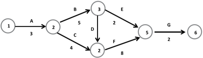
Na programação das intervenções nos equipamentos, para manutenção corretiva ou preventiva, é fundamental o planejamento do tempo de sua execução. A confecção do Diagrama de Rede objetiva a identificação do sequenciamento das atividades, o prazo de execução dos serviços, as atividades críticas e as folgas das atividades para o reparo do equipamento. De acordo com o diagrama de rede a seguir, o prazo de duração do serviço é de: Obs: as durações apresentadas no diagrama estão em dias.
