Magna Concursos
67041 Ano: 2005
Disciplina: Engenharia Elétrica
Banca: Marinha
Orgão: Marinha

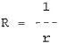
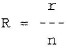
Determine a resistência R do resistor equivalente a n resistores iguais, de resistência r cada um, quando eles são associados em paralelo e assinale a opção correspondente.

 

Provas

Questão presente nas seguintes provas

Corpo Auxiliar de Praças - Eletrotécnica

50 Questões