Magna Concursos
Questões
Planos
Entrar
Entrar
Criar Conta
Respondida
1296206
Ano:
2012
Disciplina:
Química
Banca:
COVEST-COPSET
Orgão:
UFRPE
Provas:
Químico
Provas
×
Química Orgânica
Isomeria Plana e Espacial
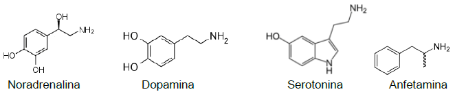
Dadas as drogas abaixo, assinale a alternativa
correta
.
A
A noradrenalina e a anfetamina representadas apresentam atividade ótica.
B
A configuração absoluta do carbono assimétrico da noradrenalina é S.
C
A hidroxila na cadeia alifática da noradrenalina a torna mais liposolúvel que a dopamina.
D
A noradrenalina e a dopamina fazem parte do grupo das catecolaminas, enquanto que a serotonina é uma indolamina.
E
De acordo com a IUPAC, a nomenclatura da dopamina é 3,4-dihidroxibenziletilamina.
Resolver
Comentários
0
×
Cadernos
×
Flashcards
×
Estatísticas
×
Reportar um erro
×
Provas
Questão presente nas seguintes provas
Químico
50 Questões
Resolver Prova
Publicar
Responder
Qual o problema da questão?
Selecione uma opção
Questão Desatualizada
Questão Repetida
Gabarito Errado
Outros Motivos
Mensagem
Enviar
Acessar
Criar Conta
Acesse sua Conta
Google
Facebook
Esqueci minha senha
Acessar
Ainda não tem conta?
Crie uma
!
Crie uma Conta
Criar Conta
Olá, para continuar, precisamos criar uma conta!
É
rápido
e
grátis
.
Google
Facebook
Concordo com os
Termos de Uso
Criar
Já tem uma conta?
Acesse aqui