Durante uma aula de geometria aplicada, um
professor propôs aos alunos a análise de uma situação
real com base em funções trigonométricas. Um
estudante observa o topo de um edifício a partir de um
ponto situado a 20 metros de sua base, percebendo-o
sob um ângulo de elevação θ. Ao deslocar-se, em
linha reta, 60 metros para trás na mesma direção,
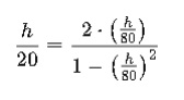
passa a enxergar o topo sob um ângulo de elevação θ/2 considerando a modelagem da situação com base na
função tangente e a aplicação correta das identidades
de ângulo duplo, é correto afirmar que a altura do
edifício corresponde a 40√2 metros, valor obtido por
meio da solução de uma equação transcendente do
tipo:

