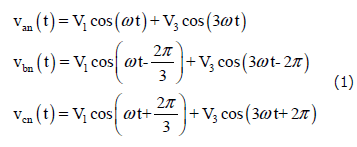
Uma carga linear trifásica balanceada de impedância z=z(w) por fase, ligada em Y, é alimentada por um sistema trifásico, também ligado em Y, cujas tensões de fase são, em volt, dadas por (1).

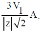
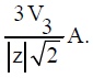
Nesta situação, se os neutros (centros) de cada estrela forem interligados através de um condutor ideal, é de se esperar a presença de uma corrente elétrica eficaz, neste condutor, de