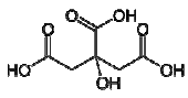
Um estudante de Química, analisando os ingredientes de um leite integral industrializado, observou que o mesmo continha citrato de sódio, monofosfato de sódio, difosfato de sódio e trifosfato de sódio. Sabendo que a fórmula estrutural do ácido cítrico é:

três afirmações foram feitas:
1) A molécula do ácido cítrico apresenta três carbonos com hibridização !$ sp^2 !$.
2) O citrato de sódio é um composto iônico com fórmula química !$ C_6H_5Na_3O_7 !$.
3) O fosfato de cálcio tem fórmula !$ Ca_2(PO_4)_3 !$.
Está(ão) correta(s) a(s) afirmativa(s):
Provas
Questão presente nas seguintes provas