Magna Concursos
1459682 Ano: 2016
Disciplina: Matemática
Banca: REIS & REIS
Orgão: Pref. Cascalho Rico-MG
Provas:

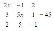
O produto das raízes da equação abaixo é:

enunciado 1459682-1

 

Provas

Questão presente nas seguintes provas

Professor - Matemática

30 Questões