921944
Ano: 2012
Disciplina: TI - Desenvolvimento de Sistemas
Banca: UPENET/IAUPE
Orgão: JUCEPE
Disciplina: TI - Desenvolvimento de Sistemas
Banca: UPENET/IAUPE
Orgão: JUCEPE
Provas:
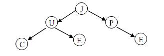
Indique a palavra formada como resultado da travessia, ao percorrer em inorder a árvore a seguir:

