Magna Concursos
751147 Ano: 2015
Disciplina: Química
Banca: FUVEST
Orgão: USP
Provas:
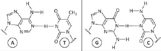
A estrutura do DNA é formada por duas cadeias contendo açúcares e fosfatos, as quais se ligam por meio das chamadas bases nitrogenadas, formando a dupla hélice. As bases timina, adenina, citosina e guanina, que formam o DNA, interagem por ligações de hidrogênio, duas a duas em uma ordem determinada. Assim, a timina, de uma das cadeias, interage com a adenina, presente na outra cadeia, e a citosina, de uma cadeia, interage com a guanina da outra cadeia.
Considere as seguintes bases nitrogenadas:
enunciado 2019871-1
As interações por ligação de hidrogênio entre adenina e timina e entre guanina e citosina, que existem no DNA, estão representadas corretamente em:
adenina-timina
guanina-citosina
 

Provas

Questão presente nas seguintes provas