Magna Concursos
2917429 Ano: 2017
Disciplina: TI - Desenvolvimento de Sistemas
Banca: QUADRIX
Orgão: CONTER
Provas:

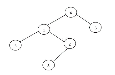
Enunciado 3218025-1

Com base na figura acima, que representa uma árvore binária, assinale a alternativa correta.

 

Provas

Questão presente nas seguintes provas

Analista de TI

50 Questões