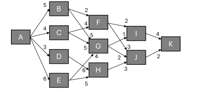
A figura a seguir mostra o diagrama PERT de uma obra. Nele, as atividades estão representadas pelas setas e possuem duração, em meses, igual ao número que se encontra mais próximo do final da respectiva seta.
Cada quadrado indica um estado de realização da obra, desde o início (estado A) até o final (estado K).

O máximo atraso que pode ser admitido na atividade que vai do estado C para o estado F, de forma a não comprometer o tempo total de realização da obra, é de
Provas
Questão presente nas seguintes provas
Auditor de Controle Externo - Engenharia Civil
100 Questões