Magna Concursos
124571 Ano: 2010
Disciplina: Engenharia Eletrônica
Banca: CESPE / CEBRASPE
Orgão: INMETRO
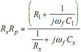
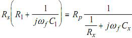
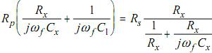
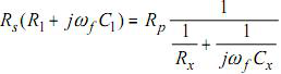
Enunciado 124571-1
O circuito com uma ponte de Wien, cujo diagrama é mostrado na figura acima, pode ser utilizado para medir os parâmetros de um capacitor, que, nesse diagrama, está representado por um modelo constituído de um capacitor ideal de capacitância Cx e de um resistor com resistência de fuga Rx. Para determinar os valores de Cx e Rx ,deve-se variar a resistência R1 e a capacitância C1 até que a ponte atinja o equilíbrio, isto é, até que tensão medida pelo voltímetro, indicada pelo elemento M, seja igual a zero. Na figura, Vƒ representa uma fonte de tensão senoidal, de frequência angular ωƒ em rad/s. A partir dessas informações, assinale a opção que deve ser satisfeita quando apresenta a equação que a ponte está em equilíbrio, considerando que j = √-1 .
Questão Anulada

Provas

Questão presente nas seguintes provas

Pesquisador - Engenharia Eletrônica

70 Questões