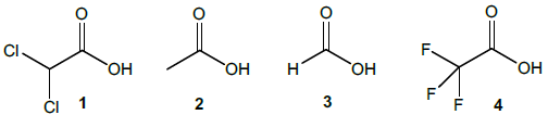
Grande parte dos compostos orgânicos são formados por ligações covalentes e podem sofrer ionização quando colocados em água. O ácido acético, que confere ao vinagre o sabor azedo, sofre ionização ao ser adicionado à água, liberando íons H+ na solução aquosa, deixando-a ácida. A quantidade de H+ liberada, determina a acidez da substância através do valor da constante de ionização do ácido, Ka. Os ácidos mostrados a seguir possuem valores aproximados de pKa de 4,76, 3,77, 1,29 e –0,25.

Assinale a alternativa que relaciona corretamente os valores de pKa com os ácidos 1, 2, 3 e 4, respectivamente: