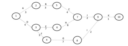
Dado o diagrama de rede a seguir, em que o número no corpo da seta representa o tempo em dias de cada tarefa, assinale a alternativa que apresenta o tempo mínimo de duração do projeto.

Dado o diagrama de rede a seguir, em que o número no corpo da seta representa o tempo em dias de cada tarefa, assinale a alternativa que apresenta o tempo mínimo de duração do projeto.
