Magna Concursos
3354655 Ano: 2024
Disciplina: Engenharia Química
Banca: Legalle
Orgão: UFPel
Provas:

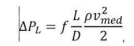
Uma quantidade de interesse para a análise do escoamento em um tubo no estudo da mecânica dos fluidos é a queda de pressão,Enunciado 3828860-1 , considerando que ela está diretamente relacionada aos requisitos de potência do ventilador ou da bomba para manter o escoamento. A perda de pressão para todos os tipos de escoamentos internos completamente desenvolvidos é expressa como:

Enunciado 3828860-2

onde f é o fator de Darcy, que, para escoamento laminar, pode ser escrito como:

Enunciado 3828860-3

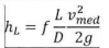
E a altura equivalente da coluna do fluido, chamada perda de carga, pode ser descrita como:

Enunciado 3828860-4

Considere que a água a 40 ºF (ro = 62,42 Ibm/ft3 e viscosidade mi = 1,038x10-3 Ibm/ft.s) escoa em estado permanente através de um tubo horizontal com diâmetro de 0,12 in (aproximadamente 0,010 ft) e 30 ft de comprimento a uma velocidade média de 3,0 ft/s. Qual a perda de carga desse escoamento? Considere g = 32,2 ft/s2?

 

Provas

Questão presente nas seguintes provas

Engenheiro Químico

40 Questões