Magna Concursos
Questões
Planos
Entrar
Entrar
Criar Conta
Respondida
419438
Ano:
2013
Disciplina:
Química
Banca:
UFG
Orgão:
IF-Goiano
Provas:
Técnico de Laboratório - Química
Provas
×
Química Orgânica
Isomeria Plana e Espacial
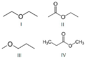
As estruturas a seguir representam alguns compostos orgânicos.
Quais são os tipos de isomeria que acontecem entre esses compostos?
A
metameria entre I e II e tautomeria entre III e IV.
B
tautomeria entre I e III e metameria entre II e IV.
C
tautomeria entre I e III e tautomeria entre II e IV.
D
metameria entre I e III e metameria entre II e IV.
Resolver
Comentários
0
×
Cadernos
×
Flashcards
×
Estatísticas
×
Reportar um erro
×
Provas
Questão presente nas seguintes provas
Técnico de Laboratório - Química
50 Questões
Resolver Prova
Publicar
Responder
Qual o problema da questão?
Selecione uma opção
Questão Desatualizada
Questão Repetida
Gabarito Errado
Outros Motivos
Mensagem
Enviar
Acessar
Criar Conta
Acesse sua Conta
Google
Facebook
Esqueci minha senha
Acessar
Ainda não tem conta?
Crie uma
!
Crie uma Conta
Criar Conta
Olá, para continuar, precisamos criar uma conta!
É
rápido
e
grátis
.
Google
Facebook
Concordo com os
Termos de Uso
Criar
Já tem uma conta?
Acesse aqui