Veja a representação em blocos de um sistema de controle em malha fechada.

Fonte: Arquivo da Banca Elaboradora.
Qual alternativa apresenta corretamente a função transferência !$ G_{MF} = { \Large { Y(s) \over R(s)}} !$
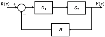
Veja a representação em blocos de um sistema de controle em malha fechada.

Fonte: Arquivo da Banca Elaboradora.
Qual alternativa apresenta corretamente a função transferência !$ G_{MF} = { \Large { Y(s) \over R(s)}} !$