A distribuição do número de erros (Y) registrados em um sistema computacional, do instante T = 0 até o instante T = t, é descrita pela distribuição de probabilidade condicional na forma P(Y = k | X = t) = (1 - e-t)e-kt, em que k = 0, 1, 2, ... representa uma possível realização da variável aleatória Y e X representa uma distribuição exponencial com média unitária.
A distribuição de probabilidades da variável aleatória Y é dada por
, em que k = 0, 1, 2, ....
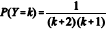
A distribuição de probabilidades da variável aleatória Y é dada por
, em que k = 0, 1, 2, ....