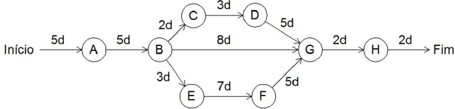
No Gerenciamento de Projetos, o uso de redes de interdependência é um recurso muito útil, principalmente porque permite identificar o caminho crítico do Projeto. Observe o gráfico a seguir, o qual dispõe as atividades de A a H e suas respectivas durações.

Seguindo o caminho crítico, pode-se saber que a atividade G estará concluída em: