Magna Concursos
1140769 Ano: 2005
Disciplina: Matemática
Banca: FJPF
Orgão: PM-RO
Provas:

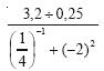
O resultado da expressão numérica Enunciado 3300811-1 é:

 

Provas

Questão presente nas seguintes provas

Policial Militar - Soldado

60 Questões