Uma linha de transmissão trifásica e curta possui dois terminais,
o terminal local e o terminal remoto. Uma fonte de
tensão trifásica, simétrica e de sequência direta (ABC) está
conectada ao terminal local da linha de transmissão e apenas
uma carga monofásica está conectada na fase A do terminal
remoto dessa mesma linha de transmissão. Dados:
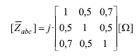
• A fonte está conectada em estrela solidamente aterrada • A carga está conectada entre fase e neutro • Fasor da tensão na fase A da fonte: 100 [V] • Corrente na fase A da fonte: 2∠ –30° [A] • Matriz de impedâncias equivalente da linha de transmissão:

Nesse contexto, assinale a alternativa que apresenta corretamente a tensão na fase B do terminal remoto dessa linha de transmissão.
• A fonte está conectada em estrela solidamente aterrada • A carga está conectada entre fase e neutro • Fasor da tensão na fase A da fonte: 100 [V] • Corrente na fase A da fonte: 2∠ –30° [A] • Matriz de impedâncias equivalente da linha de transmissão:

Nesse contexto, assinale a alternativa que apresenta corretamente a tensão na fase B do terminal remoto dessa linha de transmissão.