Magna Concursos
3538324 Ano: 2025
Disciplina: Matemática
Banca: VUNESP
Orgão: Pref. Morungaba-SP
Provas:

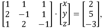
A equação matricial abaixo representa um sistema linear

Enunciado 4139973-1

Ao resolvê-lo, indique a soma das variáveis x,y e z:

 

Provas

Questão presente nas seguintes provas

Professor - Matemática

50 Questões