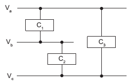
Uma fonte trifásica com tensões de fase equilibradas Va , Vb e Vc alimenta um sistema trifásico, formado por três cargas denominadas C1 , C2 e C3 .

As cargas possuem impedância de mesmo módulo, com os fatores de potência de acordo com a Tabela a seguir:

A carga total do sistema