Magna Concursos
286499 Ano: 2008
Disciplina: Matemática Financeira
Banca: FCC
Orgão: MPE-RS
Provas:

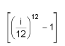
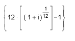
A taxa nominal i ao ano, com capitalização mensal, corresponde a uma taxa efetiva anual de

 

Provas

Questão presente nas seguintes provas

Assessor - Contábil

60 Questões