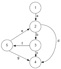
Com relação ao uso de métricas de software, a figura abaixo ilustra o grafo de fluxo de um programa de computador. Assinale a alternativa correspondente ao valor de sua complexidade ciclomática (métrica de software que fornece uma medida quantitativa da complexidade lógica de um programa):

Provas
Questão presente nas seguintes provas