
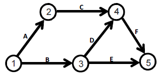
| atividade | duração (dias corridos) |
| A | 5 |
| B | 10 |
| C | 5 |
| D | 5 |
| E | 10 |
| F | 5 |
A figura acima ilustra uma rede PERT/CPM de determinado projeto, cujas atividades são representadas pelas letras de A a F. Com base nessa figura e nos dados da tabela acima apresentados, julgue o próximo item.
Caso a atividade C atrase um dia, o projeto também atrasará um dia.
Provas
Questão presente nas seguintes provas
Auditor de Controle Externo - Engenharia Civil
120 Questões