Magna Concursos
1119280 Ano: 2015
Disciplina: Matemática
Banca: FUNCAB
Orgão: CRF-RO
Provas:

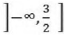
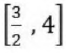
O conjunto solução da inequação enunciado 1119280-1 é:

 

Provas

Questão presente nas seguintes provas

Assistente Administrativo

50 Questões