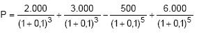
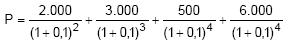
Em finanças, é comum afirmar que o valor de um ativo nada mais é do que o valor presente de seus fluxos de caixa futuros. Assim sendo, identifique a opção abaixo que melhor representa o valor de uma empresa com prazo determinado de 5 anos e com os seguintes fluxos de caixa:

Obs.: Considerar o cálculo do valor da empresa no instante 0, que a taxa de descapitalização é de 10% e que os fluxos de caixa dos anos pares são postecipados - ou seja, no final do período - e dos anos ímpares são antecipados - ou seja, no início do período. Os itens entre parênteses são valores negativos.