- Economia do TrabalhoInflação e Mercado de Trabalho
- Economia Monetária
- História Econômica
- MacroeconomiaIntrodução à Macroeconomia
Acerca da teoria keynesiana, das políticas fiscal e monetária e do mercado de trabalho, julgue o item subsequente.
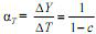
O multiplicador keynesiano indica que, toda vez que ocorre aumento da demanda agregada autônoma, haverá aumento mais que proporcional na renda da economia. Considerando-se os componentes autônomos, é correto afirmar que o multiplicador dos tributos corresponde à equação
, em que Y é a renda total, T os tributos e c a propensão marginal a consumir.