Em uma fábrica de embalagens, a produção diária depende do número de
máquinas em funcionamento e do tempo trabalhado. A quantidade de caixas
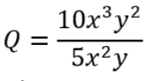
produzidas é dada pela expressão:
onde: x representa o número de máquinas em operação. y representa o número de horas trabalhadas no dia.
Simplificando a expressão, podemos representar a produção diária de caixas de forma mais simples. Assinale a alternativa que apresenta, corretamente, essa nova forma simplificada de Q.
onde: x representa o número de máquinas em operação. y representa o número de horas trabalhadas no dia.
Simplificando a expressão, podemos representar a produção diária de caixas de forma mais simples. Assinale a alternativa que apresenta, corretamente, essa nova forma simplificada de Q.