Magna Concursos
2473338 Ano: 2013
Disciplina: TI - Desenvolvimento de Sistemas
Banca: FADESP
Orgão: UFOPA
Provas:

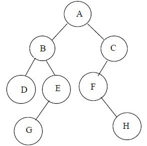
A sequência que contém os caminhamentos pré-fixado, central e pós-fixado, respectivamente, da árvore binária abaixo é

Enunciado 3535682-1

 

Provas

Questão presente nas seguintes provas

Analista de TI

50 Questões