Magna Concursos
649812 Ano: 2014
Disciplina: Matemática
Banca: CESGRANRIO
Orgão: Petrobrás
Provas:
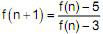
Seja f uma função real definida no conjunto dos números naturais. Sabe-se que, para todo n natural, enunciado 649812-1 e que f(0) = 7.

O valor de f(2.015) será
 

Provas

Questão presente nas seguintes provas