Magna Concursos
Questões
Planos
Entrar
Entrar
Criar Conta
Respondida
733480
Ano:
2018
Disciplina:
Farmácia
Banca:
CESPE / CEBRASPE
Orgão:
PF
Provas:
Perito Criminal Federal - Área 14
Provas
×
Química Orgânica e Farmacêutica
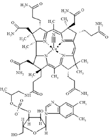
Com base na figura anterior, que ilustra a estrutura da vitamina B12, julgue o próximo item.
A vitamina B12 é um complexo metálico pentacoordenado.
C
Certo
E
Errado
Resolver
Comentários
0
×
Cadernos
×
Flashcards
×
Estatísticas
×
Reportar um erro
×
Provas
Questão presente nas seguintes provas
Perito Criminal Federal - Área 14
120 Questões
Resolver Prova
Publicar
Responder
Qual o problema da questão?
Selecione uma opção
Questão Desatualizada
Questão Repetida
Gabarito Errado
Outros Motivos
Mensagem
Enviar
Acessar
Criar Conta
Acesse sua Conta
Google
Facebook
Esqueci minha senha
Acessar
Ainda não tem conta?
Crie uma
!
Crie uma Conta
Criar Conta
Olá, para continuar, precisamos criar uma conta!
É
rápido
e
grátis
.
Google
Facebook
Concordo com os
Termos de Uso
Criar
Já tem uma conta?
Acesse aqui