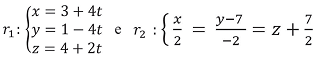
As rotas de dois aviões A e B são lineares e dadas, respectivamente, pelas retas r1 e r2, descritas a seguir:

Sobre isso, assinale a questão CORRETA.
As rotas de dois aviões A e B são lineares e dadas, respectivamente, pelas retas r1 e r2, descritas a seguir:

Sobre isso, assinale a questão CORRETA.