Magna Concursos
3350256 Ano: 2023
Disciplina: Matemática
Banca: ADVISE
Orgão: Pref. Maravilha-AL
Provas:

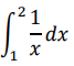
Assinale a alternativa que indica CORRETAMENTE o resultado da integral a seguir:

Enunciado 3833068-1

 

Provas

Questão presente nas seguintes provas

Professor - Matemática

40 Questões